OLAF: Adding free near wake panels#1355
Merged
ebranlard merged 16 commits intoOpenFAST:devfrom Dec 8, 2022
Merged
Conversation
jjonkman
reviewed
Dec 9, 2022
Collaborator
jjonkman
left a comment
There was a problem hiding this comment.
Sorry for the delay, but these changes all look good to me; thanks!
This file contains hidden or bidirectional Unicode text that may be interpreted or compiled differently than what appears below. To review, open the file in an editor that reveals hidden Unicode characters.
Learn more about bidirectional Unicode characters
Sign up for free
to join this conversation on GitHub.
Already have an account?
Sign in to comment
Add this suggestion to a batch that can be applied as a single commit.This suggestion is invalid because no changes were made to the code.Suggestions cannot be applied while the pull request is closed.Suggestions cannot be applied while viewing a subset of changes.Only one suggestion per line can be applied in a batch.Add this suggestion to a batch that can be applied as a single commit.Applying suggestions on deleted lines is not supported.You must change the existing code in this line in order to create a valid suggestion.Outdated suggestions cannot be applied.This suggestion has been applied or marked resolved.Suggestions cannot be applied from pending reviews.Suggestions cannot be applied on multi-line comments.Suggestions cannot be applied while the pull request is queued to merge.Suggestion cannot be applied right now. Please check back later.
This pull request is ready to be merged
Feature or improvement description
This pull request includes:
nNWPanelsFreefor number of "free near wake panel". This allows part of the near-wake to be frozen, which can greatly speed up the computation and "stabilize" the wake as the "rollup" is stopped after a while. The shorter the length of the free wake the least accurate the results are likely to be. This unfortunately adds another tuning parameter for the user. We recommend at least 1D for the free near wake. There is also some tuning regarding the convection velocity of the frozen wake (which is determined based on the convection velocity of the free wake before the frozen region). OLAF has some internal parameters to tune this convection velocity, for now, they are not available to the standard user. It is possible that we will change this convection in the future. Therefore, a warning message is provided when the user uses this feature.VelocityMethodandTreeBanchFactorin the code (first value for the wake, second value for the lifting line). For now, this is not exposed to the user.Impacted areas of the software
OLAF
Additional supporting information
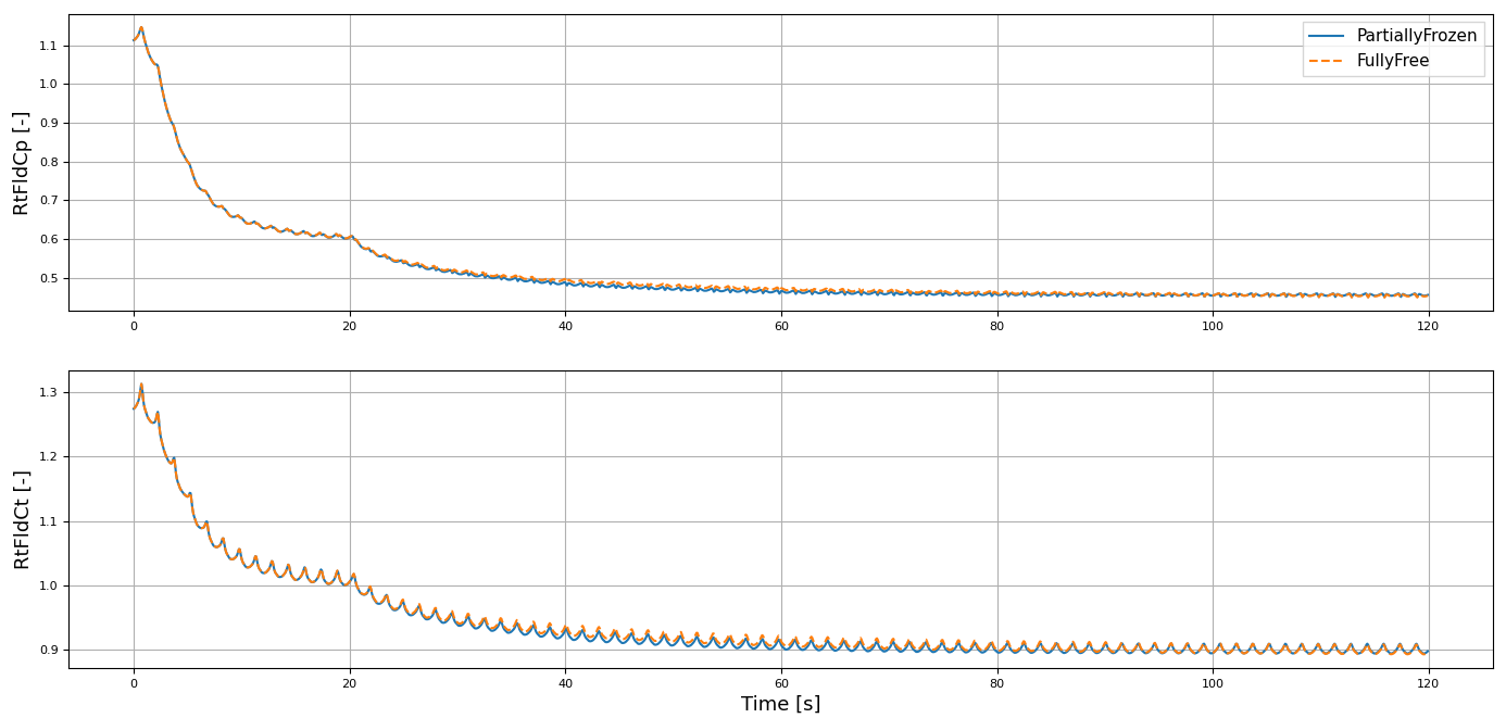
A 120s simulation of the NM80 turbine with uniform inflow/constant RPM was performed using the new frozen wake feature and without (fully free).
The fully-free simulation takes about 0.5hr on my machine, the one with a partially-frozen wake (800=nNWPanel, 180=nNWPanelFree) takes 0.2hr.
Differences in rotor performance: (differences occurs when the wake starts to be frozen, but at the end of the simulation, the differences are reduced).




Quantities along the blade at simulation end:
Comparison of wakes: (note, low vorticity is set to transparent, but the full wake lattice is present throughout the entire wake, no "far-wake" is used here) (the "first quarter" of the wake is free in the partially-frozen case)
Vorticity profiles (the convection velocity was tuned so that the location of the tip vortices at the beginning of the frozen region is approximately the same as the ones for the free wake. But as soon as vortex pairing occurs, the similarity stops):
Test results, if applicable
Tests are unchanged. Input files are modified to accommodate the new input line. The input files also rely more on "default".