-
Notifications
You must be signed in to change notification settings - Fork 2.1k
WIP: scale-like objects in panel_params that can be used to train guides #3356
New issue
Have a question about this project? Sign up for a free GitHub account to open an issue and contact its maintainers and the community.
By clicking “Sign up for GitHub”, you agree to our terms of service and privacy statement. We’ll occasionally send you account related emails.
Already on GitHub? Sign in to your account
WIP: scale-like objects in panel_params that can be used to train guides #3356
Conversation
…t in any coord code, update structure of panel_params in CoordCartesian to use scale syntax in preparation for updated guides
|
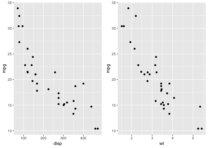
I think this is going in the right direction. It's often bugged me that there is no authoritative source of information of the exact axis range in a plot, and it seems this PR would fix that. I find the function names a bit confusing, though. E.g., what does Would this allow different panels to have different scales? As an example, we don't currently (I believe) have a faceting system that can do something like the plot below, but after attending the grammar of graphics session at SDSS 2019 I believe this is a major limitation of ggplot2 and should be supported in the future. It would require that we can somehow access and style the scales for each panel. library(ggplot2)
library(patchwork)
p1 <- ggplot(mtcars, aes(disp, mpg)) + geom_point()
p2 <- ggplot(mtcars, aes(wt, mpg)) + geom_point()
p1 + p2Created on 2019-06-06 by the reprex package (v0.2.1) |
hadley
left a comment
There was a problem hiding this comment.
Choose a reason for hiding this comment
The reason will be displayed to describe this comment to others. Learn more.
Seems like a good start to me. I think it's worth pushing this PR out a bit more just to make sure the new code is as clean as possible. How hard would it be to make view_scale() a method of the scale, so you don't need to quite so much munging of the output from break_info()?
| names(out) <- paste(name, names(out), sep = ".") | ||
| out | ||
| } | ||
| render_bg = function(panel_params, theme) { |
There was a problem hiding this comment.
Choose a reason for hiding this comment
The reason will be displayed to describe this comment to others. Learn more.
Maybe also make draw_view_grid()?
|
@clauswilke you're right about the function names...I think Hadley's suggestion that the function live in |
This comment has been minimized.
This comment has been minimized.
| @@ -1,11 +1,275 @@ | |||
|
|
|||
| #' Continuous scale constructor | |||
There was a problem hiding this comment.
Choose a reason for hiding this comment
The reason will be displayed to describe this comment to others. Learn more.
What are all the changes here?
There was a problem hiding this comment.
Choose a reason for hiding this comment
The reason will be displayed to describe this comment to others. Learn more.
These are changes that were required to keep the view scale constructor short. There are a few that were required to get previous version of the code to work that I can either take out or put into a separate pull request. Finally, there were a lot of comments and some documentation that were straight up lying, which I redocumented since I had to figure out what all these methods did to write everything else. I think this should probably be a separate pull request.
R/scale-.r
Outdated
| } | ||
|
|
||
| aesthetics <- standardise_aes_names(aesthetics) | ||
| ViewScale <- ggproto("ViewScale", NULL, |
There was a problem hiding this comment.
Choose a reason for hiding this comment
The reason will be displayed to describe this comment to others. Learn more.
I think the code is a bit easier to follow if the parent class is defined first.
There was a problem hiding this comment.
Choose a reason for hiding this comment
The reason will be displayed to describe this comment to others. Learn more.
As in, view_scale() should go after ViewScale <- ggproto(...) ?
|
This old issue has been automatically locked. If you believe you have found a related problem, please file a new issue (with reprex) and link to this issue. https://reprex.tidyverse.org/ |

In order for position guides to act like other guides (#3322), there needs to be a scale-like object for the position guides to be trained on. This PR is one experiment on how to do this.
Currently, the
panel_paramsare the only valid representation of the position scales that is available at draw time, as scales are not expanded in place, but temporarily expanded by the Coord as part of theCoord$setup_panel_params(). Thepanel_paramsfor most coordinate systems is based onScale$break_info(), which is only ever used in coordinate systems. Thepanel_paramsserve as the source of information for theCoordtransformation functions, range functions, axis guides, and panel guides (the panel grid/grill). Some layers (likegeom_dotplot(),annotation_logticks(), andggspatial::annotation_scale()) also use thex.rangeandy.rangeelements of thepanel_params.Expanded position scales used by coordinate systems serve a different purpose than scales used for training, and at first I tried coercing the existing scales to serve as both but even though it sort of works, it's messy and causes at least two tests to fail.
This PR introduces an internal class,
ViewScale, that serves as the definitive source of truth for coordinate systems (and potentially layers) regarding the expanded position scale. To demonstrate how it would be used, I refactoredCoordCartesianto use view scales instead of a composite ofScale$break_info()list()s. Ideally, thebreak_info()function should be moved to theViewScale()constructor to separate the concerns ofScaleobjects (transforming, censoring, training, and calculating limits/breaks/labels) from the concerns of theCoord/Geom(transforming position aesthetics from transformed data space to coordinate space) from the concerns of the guide (what are the break values, break labels, and break positions in coordinate space). OnlyCoordCartesianhas a 1-to-1 mapping between aViewScaleand a futureguide_axis(), but all theCoords need information about the expandedxandyscales and could potentially be refactored to use them.The main questions I have are:
guide_axis()CoordCartesianuseViewScalesfor anything except guides?ViewScales?